みなさんこんにちは。
今回は有機合成によって松茸の香りを作りたいと思います。以前うんこの匂いを作りましたが今回は至って健全です。なぜ松茸の香りを作るかと言うと合成品を嗅ぎながらエリンギご飯を食べる事で松茸ご飯のようなものが食べられるかもしれないからです。松茸は所詮香りだけですから匂いさえ押さえてしまえば僕のような貧乏人でも化学の力で高級な気分を味わえるという魂胆です。
●合成ターゲットについて
今回合成する化合物は「ケイ皮酸メチル」と呼ばれるもので名前から分かる通りケイ皮酸のエステルです。

ケイ皮酸は植物体に多く存在しており、フェニルアラニンの脱アミノ化反応によって生合成されています。このケイ皮酸から誘導されるケイ皮酸メチルは松茸やイチゴなどに香り成分として含まれ、実際に香料や食品添加物として利用されています。
●合成法について
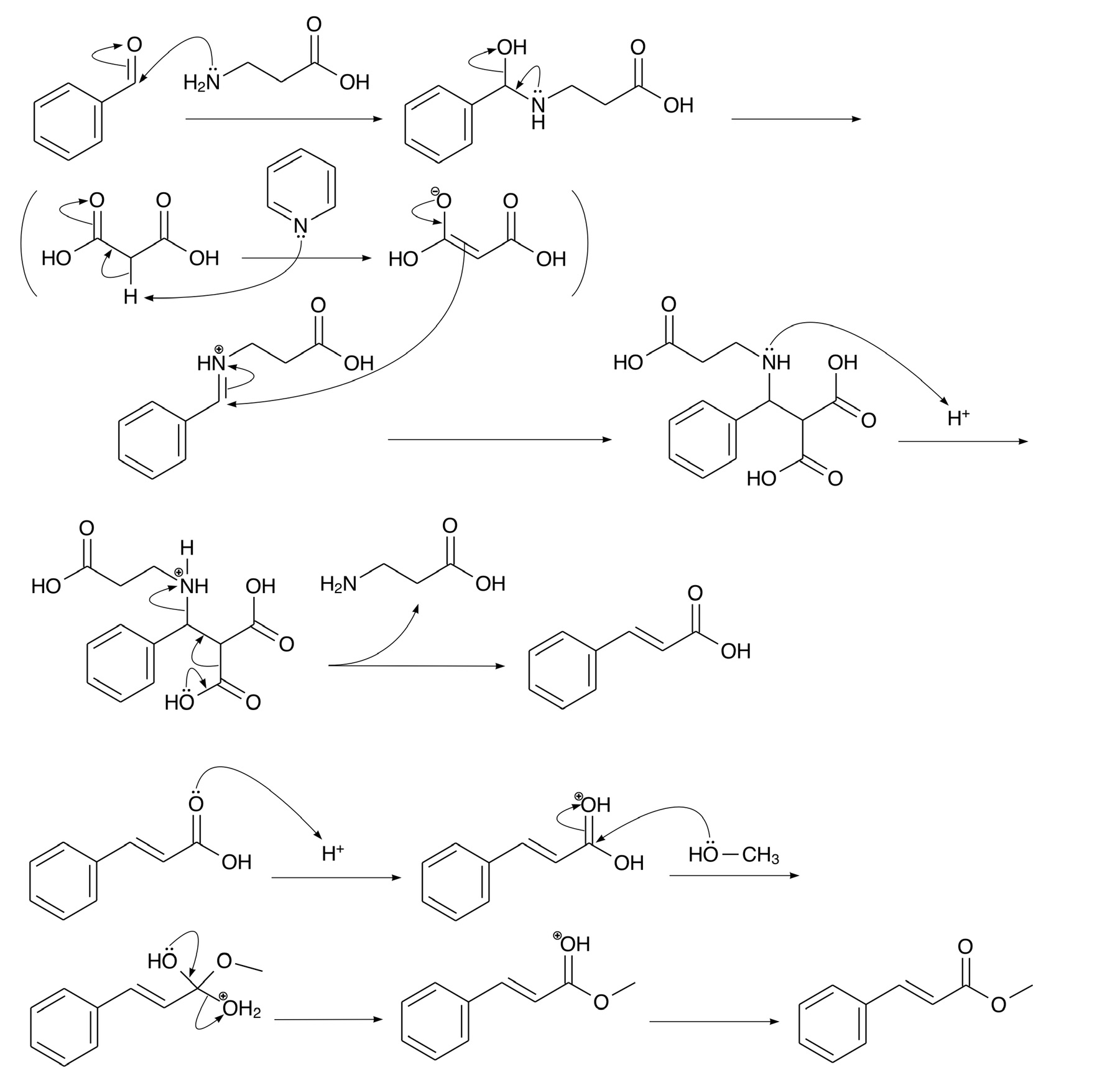
ケイ皮酸を合成し、その後メタノールとFischerエステル化によって脱水縮合させてケイ皮酸メチルを合成していきたいと思います。ケイ皮酸の合成法ですが、今回はKnoevenagel縮合の応用であるDoebnar変法を用います。Knoevenagel縮合とは電子求引基(ニトロ基やカルボニル基など)に挟まれた炭素(活性メチレン)を持つ化合物とカルボニル化合物を反応させてオレフィンを合成する方法です。活性メチレンの求核性が弱いので通常ピペリジンを触媒として使い、カルボニル基をイミノ基に変換して反応性を向上させます。

Doebnar変法は上記の反応を利用したα,β-不飽和カルボン酸の合成法です。カルボニル化合物にアルデヒド、活性メチレン化合物にマロン酸を使います。アルデヒドにベンズアルデヒドを用い、最終的に加熱して脱炭酸させるとケイ皮酸が合成されます。イミン形成および塩基触媒に本来ならピペリジンを使いますが、今回はイミン形成に第一級アミノ基を持つβ-アラニンを、塩基触媒にピリジンを用います。今の話をまとめた反応機構は以下です。

ベンズアルデヒドのカルボニル炭素にβ-アラニンが求核攻撃してE1cB脱離を経てイミンが形成されます。ピリジンによって脱プロトンしたマロン酸のエノラートが活性メチレン基部分でイミンに求核付加します。還流による加熱で脱炭酸が起こり、それに伴ってβ-アラニンが脱離し、不飽和カルボン酸が生成します。これにてケイ皮酸の合成が完了します。あとは濃硫酸触媒を使ってメタノールとFischerエステル化を起こすだけです。
それでは早速実験していきましょう。
●実験
※注意
ベンズアルデヒドは皮膚粘膜刺激性と毒性を有します。ピリジンは有毒で不快臭を有します。メタノールは強い毒性を有します。ベンゼンは強い発癌性を有します。ジエチルエーテルは麻酔性と引火性を有します。塩酸、濃硫酸は皮膚粘膜刺激性・腐食性を有します。いずれの試薬も薬傷、失明の危険性があり、重篤な事故につながる恐れがあります。安易な真似は控えてください。実験者は白衣、保護眼鏡、手袋を着用し、必要に応じて局所排気設備を使用しています。
~材料~
・ベンズアルデヒド
・マロン酸
・β-アラニン
・ピリジン
・メタノール
・ベンゼン
・ジエチルエーテル
・6mol/L塩酸
・濃硫酸
・炭酸水素ナトリウム
~器具・装置~
・250ml丸底フラスコ
・適当容量ビーカー
・メスシリンダー
・分液漏斗
・ジムロート冷却器
・Dean-Starkトラップ
・氷浴
・吸引ろ過器
・マントルヒーター
・水流式アスピレーター
・ロータリーエバポレーター
・冷却水循環装置
① 250mlフラスコにマロン酸30gとベンズアルデヒド12mlとβ-アラニン2.4gとピリジン50mlを入れる。

② フラスコをマントルヒーターで加熱して130度で1.5時間還流する。

③ 室温冷却後、氷水125mlに反応液を入れる。

④ 6mol/L塩酸150mlをゆっくり加える。

⑤ 沈殿を吸引ろ過で回収し、乾燥させる。

⑥ 乾燥して得られた粗ケイ皮酸を2等分してそれぞれ水1000mlで再結晶させる。

⑦ 吸引ろ過で結晶を回収する。精製ケイ皮酸が得られた。収率は81.10%であった。

⑧ 250mlフラスコにケイ皮酸10gとメタノール25mlと濃硫酸10mlとベンゼン40mlを入れる。Dean-Starkトラップを取り付けて2時間加熱還流する。

⑨ 反応液をロータリーエバポレーターにセットして溶媒を留去する。

⑩ 溶媒留去した液を分液漏斗に移してジエチルエーテル20mlを加えて炭酸水素ナトリウム水溶液20mlを加えて酸触媒を取り除く。

⑪ 有機層をロータリーエバポレーターで濃縮する。

⑫ 氷浴で冷却して結晶化させる。

⑬ 砕いて水で数回洗浄しながら吸引ろ過を行う。

⑭ 乾燥後、ケイ皮酸メチルが得られた。収率は75.53%であった。

ケイ皮酸のメチルエステル化あたりから実験室が松茸の芳醇な香りに包まれていました。ベンズアルデヒドはアーモンド臭、ピリジンは魚介類の腐敗臭がするのですがそれらが反応すると芳しい松茸になるなんてやはり化学は不思議ですね。今回、松茸が買えないから香りだけでも作るという目的でしたが松茸買うより材料費・設備費の方が高いという野暮なことは言わない約束ですよ。さっそくこれを嗅ぎながらエリンギでも食べることにしましょう。それでは次回の実験までさよなラジカル。
えざお
≪≪ 戻る